Statik und Tragfähigkeit
Die konstruktive Planung stellt hohe Anforderungen an die statischen Eigenschaften von Baustoffen. Denn mit möglichst wenig Materialeinsatz und schlanken Bauteilen soll eine nachweisbar stabile Konstruktion entstehen.
Kalksandstein ist durch seine hohe Druckfestigkeit selbst bei geringen Wanddicken hochbelastbar. Das schafft Spielräume bei der Planung zu effizienten Kosten – sowohl für tragende sowie für nicht tragende KS-Wände.
Bemessung nach Eurocode 6: Grundlagen
Die geltende Fassung des Eurocode 6 „Bemessung und Konstruktion von Mauerwerksbauten“ wurde im Dezember 2010 veröffentlicht. Teil 1-1 (DIN EN 1996-1-1) enthält die entsprechenden Regelungen für die Berechnung von Mauerwerksgebäuden, welche – dem deutschen Sprachgebrauch folgend – in dieser Veröffentlichung unter dem Begriff „genaueres Berechnungsverfahren“ zusammengefasst werden. Der Nachweis von Mauerwerk mit vereinfachten Berechnungsverfahren ist in Teil 3 (DIN EN 1996-3) geregelt. Weiterhin liegen die Teile 1-2 (DIN EN 1996-1-2 – Tragwerksbemessung für den Brandfall) und Teil 2 (DIN EN 1996-2 – Planung, Auswahl der Baustoffe und Ausführung von Mauerwerk) vor.
Eine Besonderheit der Eurocodes besteht darin, dass jedes Land spezielle national festzulegende Parameter (NDP) sowie nicht widersprechende zusätzliche Regeln (NCI) eigenverantwortlich in einem Nationalen Anhang (NA) definieren kann. Dies betrifft z.B. die anzusetzenden Sicherheitsbeiwerte. Die Nationalen Anhänge zu den Teilen 1-1, 2 und 3 des Eurocode 6 wurden im Januar 2012 und zu Teil 1-2 im Juni 2013 veröffentlicht. Nach einer Übergangsphase mit Anwendung auf Grundlage der so genannten Gleichwertigkeitserklärung wurde der Eurocode 6 zum 1. Januar 2015 von den Bundesländern endgültig über die Liste der technischen Baubestimmungen eingeführt. Die parallele Anwendung von DIN 1053-1 wurde gleichzeitig bis zum 31.12.2015 beschränkt.
Im Zuge der Erarbeitung der Eurocodes (EN) erfolgte auch eine Überarbeitung der Baustoff übergreifenden Einwirkungsnormen. Die entsprechenden Regelungen, z.B. zur Berechnung von Wind- und Nutzlasten, sind ebenfalls am 1. Juli 2012 bauaufsichtlich eingeführt worden.
Wichtige Normen zur Berechnung von Mauerwerk
Neuheiten bei der Bemessung nach Eurocode 6
- Im Eurocode 6 erfolgt die Nachweisführung auf Grundlage eines semiprobabilistischen Sicherheitskonzepts.
- Im Gegensatz zu den nationalen Vorgängernormen wird für den Nachweis auf Querschnittsebene ein starr-plastisches Materialverhalten zu Grunde gelegt.
- Der Eurocode 6 beinhaltet nunmehr erstmals Regeln für die Bemessung von Mauerwerk aus großformatigen Steinen (KS XL). Hierbei sind auch verminderte Überbindemaße lol bis zur 0,2-fachen Steinhöhe hu erlaubt.
- Auch bei Mauerwerk mit KS XL ist eine Ausführung mit Stoßfugenvermörtelung rechnerisch ansetzbar.
- Im vereinfachten Berechnungsverfahren kann eine Teilauflagerung der Decke auf der Wand und somit eine Lastexzentrizität berücksichtigt werden.
- Die Schnittgrößenermittlung bei horizontal beanspruchten Wandscheiben muss nicht zwingend nach dem Kragarmmodell, sondern kann auch nach einem Modell unter Berücksichtigung der günstigen Wirkung einer Einspannung der Wände in die Geschossdecken erfolgen.
- Bei Einhaltung der Randbedingungen des vereinfachten Berechnungsverfahrens ist ein Querkraftnachweis in Platten- und Scheibenrichtung nicht erforderlich. Daher enthält das vereinfachte Berechnungsverfahren keine Regelungen zum Querkraftnachweis. Vielmehr wird – falls ein rechnerischer Nachweis der Gebäudeaussteifung erforderlich ist – auf das genauere Berechnungsverfahren in DIN EN 1996- 1-1/NA verwiesen.
- Der Eurocode 6 enthält neue Nachweisgleichungen für den Nachweis von Einzellasten und bei Teilflächenpressung
- Der Eurocode 6 regelt grundsätzlich zwar auch die Bemessung von bewehrtem Mauerwerk, in Deutschland ist jedoch nur eine stark eingeschränkte Anwendung der zugehörigen Regelungen möglich.
Kalksandsteine, Mörtel und KS-Mauerwerk
Kalksandsteine
Kalksandsteine werden in verschiedenen Eigenschaften für unterschiedliche Anwendungsbereiche angeboten. Die verschiedenen Steinarten lassen sich durch folgende Kriterien unterscheiden:
- Schichthöhe (Klein-, Mittel- und Großformate)
- Lochanteil gemessen an der Lagerfläche (Vollsteine/Lochsteine)
- Steinhöhe „Normalstein“ oder „Planstein“
- Stoßfugenausbildung, z.B. R-Steine (mit Nut-Feder-System für Verarbeitung in der Regel ohne Stoßfugenvermörtelung)
- Kantenausbildung (Fase)
- Frostwiderstand
Für die statische Bemessung (Tragfähigkeit) von Mauerwerk sind insbesondere die ersten beiden Sachverhalte von großer Bedeutung.
Mörtelart, Mörtelgruppe, Mörtelklasse
Mörtelarten für KS-Mauerwerk werden nach ihren jeweiligen Eigenschaften und/ oder dem Verwendungszweck in Dünnbettmörtel (DM) und Normalmauermörtel (NM) unterschieden.
Die Unterscheidung in Mörtelklassen (nach DIN EN 998-2 in Verbindung mit der Anwendungsnorm DIN 20000-412) erfolgt in erster Linie durch ihre Festigkeit.
Mörtelart und Mörtelklasse werden für Wände entsprechend den jeweiligen Erfordernissen ausgewählt. Grundsätzlich können in einem Gebäude oder einem Geschoss verschiedene Mörtel verarbeitet werden. Aus wirtschaftlicher Sicht (einfache Disposition und keine Verwechslungsgefahr) ist die Beschränkung auf einen Mörtel sinnvoll.
Dünnbettmörtel
Dünnbettmörtel darf nur als Werk-Trockenmörtel nach DIN EN 998-2 oder nach Zulassung hergestellt werden. Er ist aufgrund seiner Zusammensetzung für Planstein- und Planelementmauerwerk mit Fugendicken von 1 bis 3 mm geeignet. Die Sollhöhe der Plansteine und -elemente (123 mm, 248 mm, 498 mm, 623 mm, 648 mm) entspricht im Wesentlichen dem Baurichtmaß (Vielfaches von 12,5 cm) abzüglich 2 mm Lagerfugendicke.
In DIN 20000-412 und ergänzend in der Musterliste Technische Baubestimmungen (MVV TB) werden folgende Anforderungen an Dünnbettmörtel gestellt:
- Mörtelklasse M 10
- Größtkorn der Zuschläge ≤ 1,0 mm
- Charakteristische Anfangsscherfestigkeit (Haftscherfestigkeit) ≥ 0,20 N/mm²
- Chloridgehalt ≤ 0,1 %
- Brandverhaltensklasse A 1
- Trockenrohdichte ≥ 1.300 kg/m³
- Korrigierbarkeitszeit ≥ 7 Minuten
- Verarbeitungszeit ≥ 4 Stunden
Die Kalksandsteinindustrie empfiehlt, bei der Herstellung von KS-Planstein- und KS-Planelement-Mauerwerk ausschließlich Dünnbettmörtel mit Zertifikat zu verwenden. Die vom Dünnbettmörtel- Hersteller empfohlene Zahnschiene, üblicherweise auf dem Mörtelsack abgebildet, ist zu verwenden.
Normalmauermörtel
Die Trockenrohdichte von Normalmauermörtel beträgt mindestens 1.300 kg/m³. In Abhängigkeit der Druck- und zugeordneter Haftscherfestigkeit werden Normalmauermörtel in Mörtelklassen (nach DIN EN 998-2 in Verbindung mit DIN 20000-412) unterschieden.
In DIN 20000-412 werden zudem folgende weitere Anforderungen an Normalmauermörtel gestellt:
- Chloridgehalt ≤ 0,1 %
- Brandverhaltensklasse A 1
- Trockenrohdichte ≥ 1.300 kg/m³
- Nachweis der Anforderungen an die Fugendruckfestigkeit in Abhängigkeit der Mörtelklasse
Mit der neuen Ausgabe von DIN 20000-412 und der entsprechenden Übernahme in die Nationalen Anhänge des Eurocode 6 wurde die Umbenennung der früheren Mörtelgruppen in Mörtelklassen abgeschlossen.
Normalmauermörtel wird aus Gründen der Wirtschaftlichkeit im Regelfall als Werkmörtel (Trocken- oder Frischmörtel) verarbeitet.
KS-Mauerwerk
Stoß- und Lagerfugen in Mauerwerkswänden
Aufgrund der Steinabmessungen ergeben sich in Mauerwerkswänden zwangsläufig Fugen. Lagerfugen sind die horizontalen Mörtelfugen zwischen zwei Steinlagen, während die vertikalen Fugen zwischen den Einzelsteinen als Stoßfugen bezeichnet werden. Die Fugendicke ist in Abhängigkeit der Steinabmessungen an das früher gebräuchliche Baurichtmaß angepasst, woraus sich folgende Sollmaße ergeben:
Schichtmaß
- = Lagerfuge + Steinmaß
- = n · 12,5 cm
(mit n = ganzzahliger Wert)
Übliches Sollmaße der Stoßfugenbreite
- Steine mit Nut-Feder-System: 2 mm (in der Regel ohne Stoßfugenvermörtelung),
- glatte Steine (ohne Nut-Feder-System): 10 mm (in der Regel mit Stoßfugenvermörtelung).
Übliches Sollmaß der Lagerfugendicke
- Dünnbettmörtel: 2 mm
- Normalmauermörtel: 12 mm
Stoßfugenbreiten > 5 mm sind nach DIN EN 1996-1-1/NA beidseitig an der Wandoberfläche mit Mörtel zu schließen.
Stoß- und Lagerfugen in Mauerwerkswänden dienen u.a. zum Ausgleich der zulässigen herstellungsbedingten Toleranzen der Steine sowie zur gleichmäßigeren Verteilung der Belastung auf die Einzelsteine. KS Plansteine können aufgrund der herstellbedingten, hohen Maßhaltigkeit mit Dünnbettmörtel verarbeitet werden. Aus Wirtschaftlichkeitsüberlegungen wird Kalksandstein- Mauerwerk überwiegend mit so genannten Ratio-Steinen (mit Nut-Feder-System) und unvermörtelten Stoßfugen ausgeführt.
Im statischen Sinne als vermörtelt gilt eine Stoßfuge nach DIN EN 1996-1-1/NA, wenn mindestens die halbe Steinbreite über die gesamte Steinhöhe vermörtelt ist.
Bei Vermauerung ohne Stoßfugenvermörtelung werden die Steine stumpf oder mit Verzahnung knirsch versetzt.
Neben der Art der Stoßfugenausbildung ist die Überbindung der Einzelsteine innerhalb der Wand für den Abtrag von Querlasten und Querkräften von großer Bedeutung. Reduzierte Überbindemaße (lol < 0,4 · hu) sind für Wände aus großformatigen Kalksandsteinen (KS XL) mit Dünnbettmörtel nach dem Eurocode möglich.
Überbindemaße
Die Forderung nach der Einhaltung des Überbindemaßes wird durch die Ausführung des Mauerwerks im Verband gewährleistet, wenn die Stoß- und Längsfugen übereinander liegender Schichten mindestens mit dem Überbindemaß lol ≥ 0,4 · hu bzw. lol ≥ 45 mm (der größere Wert ist maßgebend) angeordnet werden.
Das Überbindemaß lol darf bei Elementmauerwerk bis auf 0,2 · hu bzw. lol ≥ 125 mm reduziert werden, wenn dies in den Ausführungsunterlagen (z.B. Versetzplan oder Positionsplan) ausgewiesen ist und die Auswirkungen in der statischen Berechnung berücksichtigt sind. Das in der statischen Berechnung und den Ausführungsunterlagen angegebene erforderliche Überbindemaß ist einzuhalten und durch die Bauleitung zu kontrollieren.
Längen- und Höhenausgleich
Die Steine bzw. Elemente einer Schicht müssen die gleiche Höhe haben. An Wandenden und unter Einbauteilen (z.B. Stürze) ist eine zusätzliche Lagerfuge in jeder zweiten Schicht zum Längen- und Höhenausgleich zulässig, sofern die Aufstandsfläche der Steine mindestens 115 mm lang ist und Steine und Mörtel mindestens die gleiche Festigkeit wie im übrigen Mauerwerk haben. In Schichten mit Längsfugen darf die Steinhöhe nicht größer als die Steinbreite sein. Abweichend davon muss die Aufstandsbreite von Steinen der Höhe ≥ 150 mm mindestens 115 mm betragen.
Bei der Verwendung von Passsteinen und -elementen zum Längenausgleich von Wänden ist zu beachten, dass auch in diesen Bereichen immer das jeweils maßgebende Überbindemaß eingehalten wird.
Bei KS-XL (Planelemente oder Rasterelemente)
Um die höheren Mauerwerksdruckfestigkeiten bei KS XL-Mauerwerk ansetzen zu dürfen, sind bei Elementmauerwerk einige weitere konstruktive Ausführungsregeln hinsichtlich der Anordnung von Passelementen und Ausgleichsschichten zu beachten. Anderenfalls gelten die Festigkeiten von Planstein-Mauerwerk.
Der Wandaufbau muss daher grundsätzlich aus großformatigen Elementen mit den Regelabmessungen erfolgen. Für den Längenausgleich dürfen Passelemente verwendet werden. Diese können vorgefertigt oder auch auf der Baustelle zugeschnitten werden.
Der erforderliche Höhenausgleich erfolgt bei Elementmauerwerk durch maximal je zwei Ausgleichsschichten aus Ausgleichselementen oder nicht gelochten Vollsteinen der gleichen oder einer höheren Festigkeitsklasse am Wandfuß und/ oder Wandkopf. Die unterste und/oder oberste Ausgleichsschicht darf aus Kalksand-Wärmedämmsteinen als Kimmsteine bestehen, wenn in der jeweiligen allgemeinen bauaufsichtlichen Zulassung der Kalksand-Wärmedämmsteine die Verwendung bei Elementmauerwerk zugelassen ist. Die Breite der Ausgleichselemente muss entsprechend der geforderten Ausführung als Einsteinmauerwerk der Wanddicke entsprechen. Anderenfalls sind die Druckfestigkeiten für Verbandsmauerwerk anzusetzen. Die jeweils maßgebenden Überbindemaße sind auch bei den Ausgleichsschichten einzuhalten.
Es dürfen auch Kalksand-Wärmedämmsteine mit geringerer Festigkeit als die der Planelemente eingebaut werden. In diesem Fall wird beim Standsicherheitsnachweis die Festigkeit der Kimmsteine an der betreffenden Nachweisstelle – in der Regel am Wandfuß – maßgebend. Dort ist dann die vorhandene Mauerwerksdruckfestigkeit für Elementmauerwerk unter Berücksichtigung der Druckfestigkeitsklasse der Kimmsteine anzusetzen. Beim vereinfachten Berechnungsverfahren nach DIN EN 1996-3/NA ist die so ermittelte Mauerwerksdruckfestigkeit für den gesamten Nachweis anzusetzen.
Druckfestigkeit von Mauerwerk
Die charakteristische Druckfestigkeit von Mauerwerk wird durch die Steinfestigkeit und bei Mauerwerk mit Normalmauermörtel auch durch die Mörtelfestigkeit bestimmt. In Abhängigkeit dieser Eingangsgrößen können charakteristische Mauerwerksdruckfestigkeiten angegeben werden.
Wird Mauerwerk senkrecht zu den Lagerfugen durch Druckspannungen beansprucht, entstehen im Stein Querzugspannungen, welche bei Erreichen der Grenzlast zum Mauerwerksversagen führen. Diese Querzugspannungen resultieren aus dem unterschiedlichen Verformungsverhalten von Stein und Mörtel. Während sich der Mörtel aufgrund seines im Allgemeinen geringeren E-Moduls und der höheren Querdehnzahl unter Druckbeanspruchung stärker quer verformen will als der Stein, wird diese Verformung durch den Stein behindert. Aus dieser Tatsache resultiert eine dreidimensionale Druckbeanspruchung im Mörtel, während der Stein auf Druck und Zug beansprucht wird.
DIN EN 1996-3/NA gibt für das vereinfachte Berechnungsverfahren den charakteristischen 5%-Quantilwert der Mauerwerksdruckfestigkeit direkt für verschiedene Stein-Mörtel-Kombinationen in Tabellenform an.
Die tabellierten Werte können auch im genaueren Berechnungsverfahren nach DIN EN 1996-1-1/NA angewendet werden. Diese entsprechen der im genaueren Berechnungsverfahren angegebenen Ermittlung der charakteristischen Druckfestigkeit von Mauerwerk mit Hilfe der dort angeführten Gleichungen.
Die in DIN EN 1996-3/NA tabellierten Werte wurden so justiert, dass sich stets die identische Druckfestigkeit wie bei einer Ermittlung nach DIN EN 1996-1-1/NA mit den Beiwerten K, α und β ergibt. Die Anwendung der Gleichungen ist somit in Deutschland ohne Vorteil; vielmehr kann die charakteristische Mauerwerksdruckfestigkeit von Mauerwerk aus Kalksandsteinen sowohl im vereinfachten als auch im genaueren Berechnungsverfahren den hier angeführten Tabellen entnommen werden.
Inhalt ausblendenVereinfachtes Berechnungsverfahren
Grundlage jeder Tragwerksbemessung ist es, die Einwirkungen, die auf ein Bauwerk und seine Bauteile wirken, wirklichkeitsnah zu erfassen und deren sicheren Abtrag in den Baugrund nachzuweisen. Dabei ist je nach Beanspruchungsart der Wände zwischen Platten- und Scheibenbeanspruchung zu unterscheiden. Einwirkungen in Richtung der Wandebene erzeugen eine Scheibenbeanspruchung, wohingegen Einwirkungen quer zur Mittelfläche zu einer Plattenbeanspruchung führen.
Für die Bemessung von Mauerwerkswänden stehen im Eurocode 6 zwei Berechnungsverfahren zur Verfügung:
- das vereinfachte Berechnungsverfahren nach
DIN EN 1996-3/ NA
- das genauere Berechnungsverfahren nach
DIN EN 1996-1-1/NA
Die Grundlagen beider Berechnungsverfahren sind identisch. Die gleichzeitige Verwendung in einem Gebäude ist zulässig.
Die Anwendung der genaueren Berechnungsverfahren nach DIN EN 1996-1-1/NA ist gegenüber den vereinfachten Berechnungsverfahren insbesondere in zwei Fällen zu empfehlen. Zum einen kann es angewendet werden, wenn die Randbedingungen zur Anwendung des vereinfachten Berechnungsverfahren nicht eingehalten sind, zum anderen können teilweise erheblich höhere rechnerische Tragfähigkeiten bei Biegebeanspruchung erzielt werden. Demgegenüber steht allerdings eine ggf. recht aufwändige Schnittgrößenermittlung, da sowohl die Berechnung der Knotenmomente als auch die rechnerische Berücksichtigung von Windlasten erforderlich ist.
Die vereinfachten Berechnungsverfahren nach DIN EN 1996-3/ NA ermöglichen den statischen Nachweis eines Großteils aller im Mauerwerksbau auftretenden Problemstellungen auf der Basis von Bemessungsschnittgrößen im Grenzzustand der Tragfähigkeit innerhalb kürzester Zeit und ohne großen Aufwand. Wesentlicher Vorteil dieser Vorgehensweise ist, dass die auf die Wand einwirkenden Biegebeanspruchungen aus Lastexzentrizität und Windeinwirkungen in stark vereinfachter Form bei der Bemessung Berücksichtigung finden, so dass auf die Ermittlung dieser Einwirkungen verzichtet werden kann. Im Gegensatz zur Vorgängernorm DIN 1053-1 darf dieses Verfahren nun auch bei nicht vollständig auf der Wand aufliegenden Deckenscheiben angewendet werden. In Sonderfällen kann ein detaillierterer Nachweis von Einzelbauteilen nach dem genaueren Verfahren erfolgen, obwohl die übrigen Bauteile mit den vereinfachten Berechnungsverfahren nachgewiesen werden.
Bei Einhaltung der Anwendungsgrenzen des vereinfachten Berechnungsverfahrens und der nachfolgend genannten Randbedingungen ist kein Nachweis ausreichender Querkrafttragfähigkeit erforderlich. DIN EN 1996-3/NA enthält daher auch keine Regelungen zum Querkraftnachweis.
Das vereinfachte Berechnungsverfahren nach DIN EN 1996-3/NA gilt für unbewehrte Mauerwerkswände im üblichen Hochbau. Hierbei sind folgende Randbedingungen berücksichtigt:
- Auf einen rechnerischen Nachweis der Aussteifung des Bauwerks darf verzichtet werden, wenn die Geschossdecken als steife Scheiben ausgebildet sind bzw. statisch nachgewiesene, ausreichend steife Ringbalken vorliegen und wenn in Längs- und Querrichtung des Gebäudes eine offensichtlich ausreichende Anzahl von genügend langen aussteifenden Wänden vorhanden ist, die ohne größere Schwächungen und ohne Versprünge bis auf die Fundamente geführt werden. Bei Elementmauerwerk mit einem planmäßigen Überbindemaß lol < 0,4 · hu (hu = Steinhöhe) ist bei einem Verzicht auf einen rechnerischen Nachweis der Aussteifung des Gebäudes die ggf. geringere Schubtragfähigkeit bei hohen Auflasten zu berücksichtigen. Die Entscheidung hinsichtlich des Erfordernisses eines rechnerischen Aussteifungsnachweises – der dann nach DIN EN 1996-1-1/NA zu führen ist – obliegt dem planenden Ingenieur.
- Ein Nachweis der Querkrafttragfähigkeit ist nicht erforderlich. Nur wenn ausnahmsweise ein Aussteifungsnachweis geführt werden muss, ist der Scheibenschub nach dem genaueren Berechnungsverfahren nachzuweisen.
- Bestimmte Beanspruchungen, z.B. Biegemomente aus Deckeneinspannungen, ungewolltes Ausmitten beim Knicknachweis, Wind auf tragende Wände müssen nicht gesondert nachgewiesen werden, sondern sind durch den Sicherheitsabstand, der dem Berechnungsverfahren zugrunde liegt, oder durch konstruktive Regeln und Grenzen abgedeckt.
- Es wird davon ausgegangen, dass in halber Geschosshöhe der Wand nur Biegemomente aus der Deckeneinspannung oder -auflagerung und aus Windlasten auftreten. Greifen abweichend davon an tragenden Wänden größere horizontale Lasten an, so ist der Nachweis nach dem genaueren Berechnungsverfahren von DIN EN 1996-1-1/NA zu führen.
- Ein Versatz der Wandachsen infolge einer Änderung der Wanddicken gilt dann nicht als größere Ausmitte, wenn der Querschnitt der dickeren tragenden Wand den Querschnitt der dünneren tragenden Wand umschreibt.
Aufgrund der genannten Randbedingungen ist die Anwendung des vereinfachten Verfahrens nur unter bestimmten Voraussetzungen zulässig. Die Voraussetzungen für die Anwendung des vereinfachten Verfahrens sind:
- Die Anwendungsgrenzen laut nachstehender Tabelle sind eingehalten.
- Gebäudehöhe über Gelände hm ≤ 20 m; als Gebäudehöhe darf bei geneigten Dächern das Mittel von First- und Traufhöhe gelten.
- Stützweite lf ≤ 6,0 m, sofern die Biegemomente aus dem Deckendrehwinkel nicht durch konstruktive Maßnahmen am Wandkopf, z.B. Zentrierleisten, begrenzt werden; bei zweiachsig gespannten Decken ist für die Länge lf die kürzere der beiden Stützweiten anzusetzen.
- Für die maximale Wandschlankheit gilt: λ ≤ 27
- Das Überbindemaß lol nach DIN EN 1996-2 muss mindestens 0,4 · hu und mindestens 45 mm betragen. Bei Elementmauerwerk ist ein Überbindemaß lol ≥ 0,2 · hu zulässig. Dieses muss aber mindestens 125 mm betragen.
- Die Deckenauflagertiefe a muss mindestens die halbe Wanddicke (t/2), jedoch mehr als 100 mm betragen. Bei einer Wanddicke t = 365 mm darf die Mindestdeckenauflagertiefe auf 0,45 · t reduziert werden.
- Begrenzung der charakteristischen Nutzlast einschließlich Zuschlag für nicht tragende innere Trennwände auf qk ≤ 5,0 kN/m².
- Für den Nachweis von Kellerwänden gelten die Voraussetzungen siehe unten "Bemessung von Kelleraußenwänden".
- Freistehende Wände sind nach DIN EN 1996-1-1/NA nachzuweisen.
Anwendungsgrenzen in Abhängigkeit der Windzone
Selbst die vereinfachte Normtabelle für Kalksandsteinmauerwerk laut obenstehender ist aufgrund der zahlreichen Fußnoten und insbesondere wegen der Unterscheidung nach der Windbeanspruchung verhältnismäßig unübersichtlich. Es ist daher im Hinblick auf die praktische Anwendung sinnvoll, diese Tabelle noch weiter zu vereinfachen und nur die tatsächlich benötigten Parameter in direkter Abhängigkeit der Windzonen darzustellen. Die maximal zulässigen lichten Wandhöhen für Kalksandsteinmauerwerk, für die ein vereinfachter Nachweis ausreichend ist, sind nachfolgend in Abhängigkeit der betreffenden Windzone und der Stein-Mörtel-Kombination übersichtlich zusammengestellt. Hierbei ist berücksichtigt, dass Festigkeitsklassen ≥ 20 nur von Vollsteinen erreicht werden.
Genaueres Berechnungsverfahren
Mit Hilfe des genaueren Berechnungsverfahrens ist gegenüber dem vereinfachten Berechnungsverfahren nach DIN EN 1996-3/ NA auch nach Eurocode eine größere Ausnutzung der Tragfähigkeit von unbewehrtem Mauerwerk möglich, indem die Eigenschaften des Mauerwerks und das Tragverhalten der Konstruktion exakter erfasst werden. Das genauere Berechnungsverfahren darf für einzelne Bauteile ebenso angewendet werden, wie für einzelne Geschosse oder ganze Bauwerke. Es lassen sich größere Wandhöhen und schlankere Konstruktionen nachweisen. Es wird somit gegenüber dem vereinfachten Berechnungsverfahren den Forderungen nach Wirtschaftlichkeit durch mögliche Materialeinsparungen und Wohnflächenvergrößerungen besser gerecht. Im genaueren Berechnungsverfahren sind im Grenzzustand der Tragfähigkeit folgende Nachweise zu führen:
- Nachweis der Knicksicherheit in Wandmitte unter Berücksichtigung planmäßiger und unplanmäßiger Exzentrizitäten sowie Zusatzverformungen nach Theorie II. Ordnung
- Nachweis der Querkrafttragfähigkeit in Scheiben- und Plattenrichtung
- Nachweis der Tragfähigkeit am Wand-Decken-Knoten unter Berücksichtigung eines realistischen Tragverhaltens im Einspannbereich des Wandkopfes oder Wandfußes
- Nachweis der Teilflächenpressung
Bei Beanspruchung der Wand um die schwache Achse wird die Wandbemessung im Bereich von Wandkopf und Wandfuß als Regelbemessung bezeichnet. Für den Nachweis der Knicksicherheit in halber Geschosshöhe ist neben der planmäßigen und der ungewollten Ausmitte in halber Wandhöhe auch der Einfluss des Kriechens sowie der Verformungen nach Theorie II. Ordnung zu berücksichtigen. Für den Knicksicherheitsnachweis ist eine genauere Ermittlung der anzusetzenden Knicklänge hef in Abhängigkeit der Steifigkeit von Wand und Decke möglich. Grundsätzlich können die auftretenden Schnittgrößen nach Theorie II. Ordnung aber auch an einem Rahmensystem mit wirklichkeitsnahen Steifigkeiten ermittelt werden. Die Berechnung der Lastausmitten am Wand-Decken-Knoten sollte mit Hilfe einer geeigneten Modellbildung nach den anerkannten Regeln der Technik erfolgen. Der Einfluss der Deckenverdrehung auf die Ausmitte der Lasteintragung in die Wände ist dabei zu berücksichtigen.
Bei Beanspruchung der Wand um die starke Achse (Aussteifungsscheiben) können die Schnittkräfte nach DIN EN 1996-1-1/NA mit Hilfe zweier verschiedener Modelleermittelt werden:
- Ermittlung der Schnittgrößen anhand eines Kragarmmodells mit Einspannebene in Höhe der Kellerdecke
- Ermittlung der Schnittgrößen unter Berücksichtigung von Rückstellkräften und Einspannwirkungen der Wandscheiben in die anschließenden Decken
Bei überwiegend in Wandlängsrichtung biegebeanspruchten Querschnitten, insbesondere bei Windscheiben, errechnet sich nach dem Kragarmmodell die einwirkende Exzentrizität aus dem Quotienten des Bemessungswerts des einwirkenden Momentes MEwd um die starke Achse und dem maßgebenden Bemessungswert der einwirkenden Normalkraft NEd. Im Regelfall ist für den Nachweis der Mindestwert der einwirkenden Normalkraft (NEd = 1,0 · NGk) bemessungsrelevant. Diese Verfahrensweise unterscheidet sich nur dahingehend gegenüber den Regelungen in DIN 1053-1, dass der Nachweis und damit die Schnittgrößenermittlung jetzt auf Bemessungswertniveau erfolgt. Nach DIN 1053-1 wurde die Bemessung oftmals auf Gebrauchslastniveau durchgeführt, was zu nicht konservativen Ergebnissen führte. Über die anzusetzenden Lastkombinationen hinaus gibt es hinsichtlich der Schnittgrößenermittlung keine Unterschiede, so dass an dieser Stelle auf eine Beschreibung der dem Kragarmmodell zugrunde liegenden Annahmen verzichtet wird. Bei der Bestimmung der Querkrafttragfähigkeit einer Mauerwerksscheibe nach DIN EN 1996-1-1/NA Anhang K.2 (1) kann für die Ermittlung der einwirkenden Schnittkräfte eine günstig wirkende Einspannung der Wandscheibe in die anschließenden Decken – mit den daraus resultierenden rückdrehenden Momenten an den Enden der Scheibe – berücksichtigt und die Wand geschossweise betrachtet werden.
Für den Nachweis der Querkrafttragfähigkeit gilt, dass der Bemessungswert der einwirkenden Querkraft VEd kleiner oder gleich dem minimalen Bemessungswert des Querkrafttragwiderstandes VRdlt ist. Neben den Versagensarten Reibungsund Steinzugversagen sind wegen der Erweiterung des Anwendungsbereichs auf verminderte Überbindemaße sowie Steine mit größerer Höhe als Länge zusätzlich noch die Versagensmodi Schubdruckversagen und Fugenversagen durch Klaffen der Lagerfugen zu berücksichtigen.
Im Falle der Anwendung des genaueren Berechnungsverfahrens nach DIN EN 1996-1-1/NA für die Nachweise im Grenzzustand der Tragfähigkeit gilt die Gebrauchstauglichkeit als erfüllt, wenn bestimmte Bedingungen unter Berücksichtigung eines linearelastischen Materialverhaltens eingehalten sind. Diese sind weiterführender Literatur zu entnehmen.
Inhalt ausblendenBemessung von Kelleraußenwänden
Kellerwände tragen die vertikalen Lasten aus den Geschossdecken und den aufgehenden Wänden über die Fundamente in den Baugrund ab. Durch die Erdanschüttung ergibt sich zusätzlich eine horizontale Beanspruchung der Kelleraußenwände. Eine ungünstige Einwirkungskombination mit hohen Horizontallasten und geringen Vertikallasten tritt z.B. bei Einfamilienhäusern (wenn im Wohnzimmer des Erdgeschosses zur Terrasse hin große Fensterflächen angeordnet sind) oder bei leichten Fertighäusern auf. Ungünstige Verhältnisse entstehen vor allem im Bauzustand, wenn nach dem Betonieren der Geschossdecke bereits mit der Bodenverfüllung des Arbeitsraums begonnen wird.
Aufgrund der vielfach geringen Auflast und der kleinen Biegezugfestigkeit von Mauerwerk senkrecht zur Lagerfuge ist ein einachsiger Lastabtrag über Biegung mit Normalkraft bei Kellerwänden rechnerisch häufig nicht möglich. Das Tragverhalten von erddruckbelasteten Kellerwänden muss daher über eine Bogenwirkung modelliertwerden. Zur Ausbildung eines in der Wand liegenden Druckbogens zwischen dem Fundament und der aufliegenden Geschossdecke muss dem Bogenschub eine hinreichende Auflast entgegenwirken. Gerade bei Kellerwänden mit geringen Auflasten und hoher Erdanschüttung kann diese Forderung maßgebend werden.
Das Verfüllen des Erdreiches an die Kelleraußenwand darf erst nach Fertigstellung der Kellerdecke und bei dem durch den Planer vorgegebenen Baufortschritt zur Gewährleistung der minimal erforderlichen Auflast auf die Kellerwand erfolgen. Beim Verfüllen sind Verdichtungsgeräte mit geringer Verdichtungsenergie zu verwenden. Es ist lagenweise zu verdichten oder es sind zusätzliche Abstützungen der Wand für den Bauzustand auszuführen.
Um die zur Sicherstellung der Bogentragwirkung erforderliche Auflast am Wandkopf zu reduzieren, kann z.B. die Dicke der Kellerwand erhöht und somit der Bogenstich vergrößert werden.
Erfolgt der Nachweis der Kellerwand vereinfacht nach DIN EN 1996-3/NA ist sicherzustellen, dass bei der Verfüllung und Verdichtung des Arbeitsraums nur nichtbindiger Boden nach DIN 1054 und nur Rüttelplatten oder Stampfer mit folgenden Eigenschaften nach DIN EN 1996-2/NA zum Einsatz kommen:
- Breite des Verdichtungsgerätes ≤ 50 cm
- Wirktiefe ≤ 35 cm
- Gewicht bis etwa 100 kg bzw. Zentrifugalkräfte bis max. 15 kN
Sind die vorgenannten Bedingungen nicht eingehalten, sind entsprechende Maßnahmen zur Gewährleistung der Standsicherheit während des Einbaus der Verfüllmassen zu ergreifen oder es ist ein gesonderter Nachweis unter Berücksichtigung höherer Verdichtungslasten zur führen. Weiterhin darf die Verfüllung des Arbeitsraums erst dann erfolgen, wenn sichergestellt ist, dass die in den rechnerischen Nachweisen angesetzten Auflasten vorhanden sind.
Zum Schutz der Mauerwerkswände gegen aufsteigende Feuchtigkeit sind waagerechte Abdichtungen unter den Wänden (Querschnittsabdichtungen) erforderlich. Neben den bahnenförmigen Querschnittsabdichtungen mit z.B. Bitumendachbahn R 500 (nach DIN EN 13969 in Verbindung mit DIN SPEC 20000-202) können diese auch durch mineralische Dichtungsschlämmen (nach DIN 18533-3) oder durch Material mit mindestens gleichwertigem Reibungsverhalten hergestellt werden. Beide Abdichtungsarten müssen insbesondere bei Anordnung am Wandfuß die auftretenden Horizontalkräfte aus Erddruckbeanspruchung in der Wand sicher weiterleiten. Bei seitlich höher belasteten Wänden empfiehlt sich aufgrund des guten Haftscherverbundes die Anwendung von Dichtungsschlämmen.
Nach DIN EN 1996-3/NA darf die Bemessung von Kelleraußenwänden unter Erddruck nach einem vereinfachten Verfahren erfolgen wenn nachstehende Randbedingungen eingehalten sind:
- Wanddicke t ≥ 24 cm
- Lichte Höhe der Kellerwand h ≤ 2,60 m
- Die Kellerdecke wirkt als Scheibe und kann die aus dem Erddruck resultierenden Kräfte aufnehmen.
- Im Einflussbereich des Erddrucks auf die Kellerwand beträgt der charakteristische Wert qk der Verkehrslast auf der Geländeoberfläche nicht mehr als 5 kN/m2 und es ist keine Einzellast > 15 kN im Abstand von weniger als 1,5 m zur Wand vorhanden.
- Die Anschütthöhe he darf höchstens 1,15 · h betragen.
- Die Geländeoberfläche steigt nicht an.
- Es darf kein hydrostatischer Druck auf die Wand wirken
- Am Wandfuß ist entweder keine Gleitfläche, z.B. infolge einer Feuchtigkeitssperrschicht, vorhanden oder es sollten konstruktive Maßnahmen ergriffen werden, um die Querkraft aufnehmen zu können (Sperrschichten aus besandeten Bitumendachbahnen R 500 nach DIN EN 13969 in Verbindung mit DIN SPEC 20000-202 oder aus mineralischen Dichtungsschlämmen nach DIN 18533-3 haben einen ausreichenden Reibungsbeiwert und gelten nicht als Gleitflächen).
- Für die Verfüllung und Verdichtung des Arbeitsraums sind die Vorgaben aus DIN EN 1996-2/NA, Anhang E (3) einzuhalten
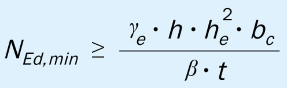
Für den Nachweis hinreichender Tragfähigkeit unter Biegebeanspruchung wird von einem vertikalen Bogenmodell ausgegangen. Dementsprechend ergibt sich unter Berücksichtigung der Wirkung des aktiven Erddrucks ein Mindestwert für die einwirkende Normalkraft je Meter Wandlänge von:
| Legende |
|---|
|
t - Wanddicke |
Um die Tragfähigkeit der Kellerwand zu erhöhen, kann unter bestimmten Voraussetzungen eine zweiachsige Tragwirkung angenommen werden. Dies wird über den Faktor β berücksichtigt:
Bei Elementmauerwerk mit einem vermindertem Überbindemaß 0,2 · hu ≤ lol < 0,4 · hu ist generell β = 20 anzusetzen.
Zu beachten ist, dass der Nachweis ggf. auch im Bauzustand zu führen ist, bei dem die volle Auflast aus Eigenlast der Obergeschosse noch nicht wirkt.
Des Weiteren ist die Tragfähigkeit gegen maximale Normalkraftbeanspruchung in halber Wandhöhe NEd,max bei einer Lastexzentrizität von e = t / 3 nachzuweisen:
Der vereinfachten Berechnungsmethode wurde ein Erddruckbeiwert von ≤ 1/3 zugrunde gelegt. Nach DIN EN 1996-1-1/NA kann ein Nachweis von Kellerwänden mit einem beliebigen Erddruckbeiwert geführt werden.
Der Nachweis der Querkrafttragfähigkeit (Plattenschub) gilt mit den genannten Nachweisen ebenfalls als erbracht.
Die mögliche zweiachsige Tragwirkung durch Ansatz eines horizontalen Druckbogens kann über zusätzliche aussteifende Stahlbetonstützen unter Verwendung von KS -U-Schalen erreicht werden (siehe folgendene Bilder).
Bauliche Durchbildung
Die bauliche Durchbildung ist in DIN EN 1996-1-1/NA geregelt, wohingegen in DIN EN 1996-2/NA Angaben zur Ausführung gemacht werden. Teilweise überschneiden sich die Regelungen aber auch, so dass in jedem Fall beide Normteile zu beachten sind.
Schlitze und Aussparungen
Als Schlitze werden längliche Einschnitte in flächigen Bauteilen verstanden. Handelt es sich dabei um kleine gedrungene Einschnitte, spricht man von Aussparungen. Schlitze und Aussparungen können während der Herstellung des Bauteils oder nachträglich hergestellt werden.
Grundsätzlich ist bei Schlitzen und Aussparungen zu unterscheiden, ob ein maßgebender Einfluss auf das Tragverhalten des Bauteils vorliegt, der in der Bemessung der Tragkonstruktion gesondert zu berücksichtigen ist. Sie sollten grundsätzlich nicht durch Stürze oder andere tragende Bauteile einer Wand gehen. Die Abminderung für Druck-, Schub- und Biegetragfähigkeit infolge vertikaler Schlitze und Aussparungen darf vernachlässigt werden, wenn diese Schlitze und Aussparungen nicht tiefer als tch,v sind.
Dabei sollte als Schlitz- und Aussparungstiefe die Tiefe einschließlich der Löcher gelten, die bei der Herstellung der Schlitze und Aussparungen erreicht wird. Werden die Grenzen überschritten, sollte die Tragfähigkeit auf Druck, Schub und Biegung mit dem in Folge der Schlitze und Aussparungen reduzierten Mauerwerksquerschnitt rechnerisch geprüft werden.
Vertikale Schlitze und Aussparungen sind auch dann ohne Nachweis zulässig, wenn die Querschnittsschwächung, bezogen auf 1 m Wandlänge, weniger als 6% beträgt und die Wand nicht drei- oder vierseitig gehalten nachgewiesen wird. Hierbei müssen eine Restwanddicke nach Spalte 4 und ein Mindestabstand nach Spalte 6 der folgenden Tabelle eingehalten werden. Die Festlegungen gelten nur für tragende Wände. Schlitze und Aussparungen in Schornsteinwangen sind unzulässig. Längere horizontale Schlitze am Wandkopf sollten zur Vermeidung von Rissbildung und Abplatzungen nicht unmittelbar unter dem Deckenauflager angeordnet werden, dürfen aber nur 40 cm unterhalb Wandkopf und 40 cm oberhalb Wandfuß angeordnet werden. Alle übrigen Schlitze und Aussparungen sind bei der Bemessung des Mauerwerks zu berücksichtigen.
Horizontale und schräge Schlitze sind für eine gesamte Schlitztiefe von maximal dem Wert tch,h ohne gesonderten Nachweis der Tragfähigkeit des reduzierten Mauerwerksquerschnitts auf Druck, Schub und Biegung zulässig, sofern eine Begrenzung der zusätzlichen Ausmitte in diesem Bereich vorgenommen wird. Klaffende Fugen infolge planmäßiger Ausmitte der einwirkenden charakteristischen Lasten (ohne Berücksichtigung der Kriechausmitte und der Stabauslenkung nach Theorie II. Ordnung) dürfen rechnerisch höchstens bis zum Schwerpunkt des Gesamtquerschnittes entstehen. Generell sind horizontale und schräge Schlitze in den Installationszonen nach DIN 18015-3 anzuordnen. Die dargestellte Tabelle enthält entsprechende Grenzwerte für tch,h. Sofern die Schlitztiefen die angegebenen Werte überschreiten, sollte die Tragfähigkeit auf Druck, Schub und Biegung mit dem infolge der horizontalen und schrägen Schlitze reduzierten Mauerwerksquerschnitt rechnerisch überprüft werden.
Deckenauflager
Wiederkehrende Verformungen von Stahlbetondecken durch unterschiedliche Temperaturen (Sommer/Winter), das einmalige Schwinden im Zuge der Austrocknung sowie Verdrehungen im Bereich von Endauflagern bei großen Deckenspannweiten führen zu Spannungen in der Konstruktion.
Werden diese Spannungen bei der Planung und Ausführung nicht ausreichend berücksichtigt, führt dies nicht selten zu Rissen an den Wänden. Risse an den Decken sind selten festzustellen.
Bei großen Deckenspannweiten kommt es insbesondere im Bereich von Endauflagern bei Decken zu großen Verdrehungen der horizontalen Tragglieder. Daraus ergibt sich eine exzentrische Lasteinleitung in die Mauerwerkswand, die nicht nur zu einer Traglastminderung führt, sondern auch Rissbildungen und Abplatzungen verursachen kann.
Sind die Randbedingungen für die Anwendung des vereinfachten Berechnungsverfahrens nach DIN EN 1996-3/NA nicht eingehalten (z.B. Stützweite lf > 6 m) oder führen die Lastexzentrizitäten zu großen Traglastminderungen (z.B. bei der obersten Geschossdecke), können konstruktive Maßnahmen zur Zentrierung des Deckenauflagers am Wandkopf genutzt werden, wobei entsprechende Einflüsse auf die Konstruktion zu beachten sind (z.B. Knicklänge, Übertragung horizontaler Lasten zur Gebäudeaussteifung etc.).
Die Lastzentrierung mit mittig angeordneten Verformungslagern nach Bild 34b ist nicht allein eine konstruktive Maßnahme zur Vermeidung von Rissbildungen im Grenzzustand der Gebrauchstauglichkeit. Hierdurch ändern sich auch die statischen Randbedingungen. Diese Lager dürfen insbesondere auch nicht am Wandfuß angeordnet werden.
Bei größeren planmäßigen Ausmitten, z.B. Dachdecke mit wenig Auflast oder Decken mit großer Spannweite, sollten Stahlbetondecken zur Verringerung der exzentrischen Lasteinleitung entsprechend zentriert werden.
Werden Maßnahmen zur Zentrierung der Lasteinleitung von Decken vorgesehen, darf auch bei Stützweiten von mehr als 6 m das vereinfachte Berechnungsverfahren nach DIN EN 1996-3/NA angewendet werden.
Die Auflagertiefe der Decken muss generell mindestens t/3 + 40 mm der Wanddicke t und darf nicht weniger als 100 mm betragen.
Für die Ausbildung des Wandkopfes werden folgende Empfehlungen gegeben:
- Auftretende Verformungen aus Temperatureinwirkungen z.B. bei einer ungedämmten Decke können über ein Gleitlager mit einem darunter angeordneten Ringbalken aufgenommen werden.
- Auftretende Verformungen aus Schwinden können bei einer gedämmten Decke durch eine besandete Bitumendachbahn R 500 (nach DIN EN 13969 in Verbindung mit DIN SPEC 20000- 202) aufgenommen werden. Die Anordnung eines Ringbalkens ist nicht erforderlich.
- Auftretende Verformungen aus Deckendurchbiegung sind mit einem Dämmstreifen am Rand ohne die Anordnung eines Ringbalkens aufzunehmen
- Falls Schwindverformungen und eine zu große Deckendurchbiegung gleichzeitig auftreten, können sinnvoll Verformungslager für eine mittige Zentrierung angeordnet werden. Ein Ringbalken ist nicht erforderlich, wenn die auftretenden Querkräfte vom Verformungslager aufgenommen werden können.
- Den Auswirkungen durch das Aufschüsseln von Eckbereichen der Decke durch fehlende Auflasten (Dachdecken oder Garagendecken) kann durch die Anordnung je eines von der Ecke aus ungefähr 1,50 m langen Streifens einer besandeten Bitumendachbahn R 500 (nach DIN EN 13969 in Verbindung mit DIN SPEC 20000-202) begegnet werden.
Empfehlungen für Deckenauflager
Ringanker und Ringbalken
Bei Ringankern und Ringbalken handelt es sich um stabförmige Bauglieder, die der Aufnahme von Aussteifungskräften und Horizontallasten dienen. Sie werden z. B. mit ausbetonierten und bewehrten KS -U-Schalen hergestellt. Hierbei ist zu unterscheiden, dass Ringanker überwiegend auf Zug und Ringbalken überwiegend auf Biegung beansprucht werden.
Nach DIN 1053-1 mussten alle Außenwände und diejenigen Innenwände, die der Abtragung der Aussteifungskräfte dienen, Ringanker erhalten, wenn nachstehende Randbedingungen vorliegen. Vergleichbare Regelungen sind im Eurocode nicht enthalten. Es empfiehlt sich jedoch, die bewährten Regeln bei der Planung zu berücksichtigen.
- Bauten mit mehr als zwei Vollgeschossen
- Bauten mit Längen > 18 m
- Wände mit großen Öffnungen
- Bauwerke mit ungünstigen Baugrundverhältnissen
Ringanker sind für eine aufzunehmende Zugkraft von mindestens NEd = 45 kN zu dimensionieren bzw. mit einer Mindestquerschnittsfläche von as = 150 mm2 (oder 2 Ø 10) zu bewehren. In einer Stahlbetondecke vorhandene Bewehrung darf in gewissen Grenzen angerechnet werden. Die parallele Bewehrung muss sich in Decken oder Fensterstürzen in einer Entfernung von nicht mehr als 0,5 m von der Mittelachse der Wand bzw. Decke befinden. Ringanker können auch aus bewehrtem Mauerwerk oder mit so genannten Mauerwerksschalen hergestellt werden, wenn die entsprechenden Zugkräfte aufgenommen werden.
Ringbalken dienen im Wesentlichen der Aufnahme von Horizontallasten und der horizontalen Halterung der Wände am Wandkopf, wenn eine entsprechende Lagerung statisch erforderlich ist (z.B. Ausfachungsflächen). Dies ist z.B. der Fall bei:
- Decken ohne Scheibenwirkung (Holzbalkendecken)
- Anordnung von Gleitschichten unter Deckenauflagern von Decken
Ringbalken sind für die auf sie entfallenden Windlastanteile sowie zur Berücksichtigung von Lotabweichungen auf eine Horizontallast von 1/100 der Vertikallast zu bemessen. Bei Ringbalken unter Gleitschichten sind die verbleibenden Reibungskräfte aus der Decke zusätzlich als Zugkräfte zu berücksichtigen. Ringbalken müssen derart biegesteif ausgeführt werden, dass im auszusteifenden Mauerwerk keine unzulässigen Durchbiegungen und Rissbildungen auftreten.
a) Gleitlager mit eingelegtem Styropor-Randstreifen an der Wandinnenseite, b) Verformungslager mit Zentrierstreifen zwischen
Wand und Decke
Die Weiterleitung der Auflagerkräfte der Ringbalken in die aussteifenden Wände ist statisch nachzuweisen.
Ein Ringbalken ist jedoch nur erforderlich, wenn ein Gleitlager eingebaut wird, welches schubweich ist. Wird ein Zentrierlager wie im obigen Bild (rechts) eingebaut, dass die Verformungen aus der Decke aufnehmen kann und gleichzeitig die Übertragung der Querkräfte gewährleistet, ist ein Ringbalken entbehrlich.
Unterschiedliche Verformungen zwischen tragenden Wänden und der Dachdecke können nach DIN 18530:1987-03 abgeschätzt werden. Ist danach mit Rissen zu rechnen, so ist die Dachdecke möglichst reibungsfrei auf den Wänden zu lagern. In diesem Fall ist ggf. auch ein Gleitlager mit Ringbalken unter der Dachdecke erforderlich.
Ringbalken können auch in nicht tragenden Innenwänden zur horizontalen Unterteilung eingesetzt werden. Durch den Ringbalken erhält das darunter liegende Feld eine obere Halterung und das darüber liegende Feld eine untere Halterung.
Stumpfstoßtechnik
Der KS-Stumpfstoß, ohne den Bauablauf störende Verzahnung der Wände, eröffnet für Planung und Ausführung Freiräume – auch bei Anwendung von mechanischen Versetzgeräten. Diese Bauweise hat sich seit mehr als 30 Jahren bewährt. Aus baupraktischen Gründen wird daher auch bei statisch angesetzter zweiseitiger Halterung empfohlen, konstruktiv Edelstahl-Flachanker in die Lagerfugen einzulegen. Die Anschlussfugen sind aus schalltechnischen Gründen zu vermörteln.
Halterung der tragenden Wand (Schichthöhe 25 cm)
